Nursing Concept Map Examples

Nursing Concept Map Examples. A nursing concept map template helps nurses organize data, identify patient problems and visualize various healthcare practices. Concept map dive into discussing - various risk factors, diagnostic procedures and medications, complications, signs and symptoms, possible nursing DX, and nursing.

️ Nursing concept map. DavisPlus. 2019-02-07
️ Nursing concept map. DavisPlus. 2019-02-07 (Laura Armstrong)
Nursing Concept Map. by Creately Templates. Insert sub-nodes: Press the tab key after clicking the node to insert the sub-nodes. Analyze the needs of a patient, and those of their family, with regard to how they will influence a patient-centered concept map.

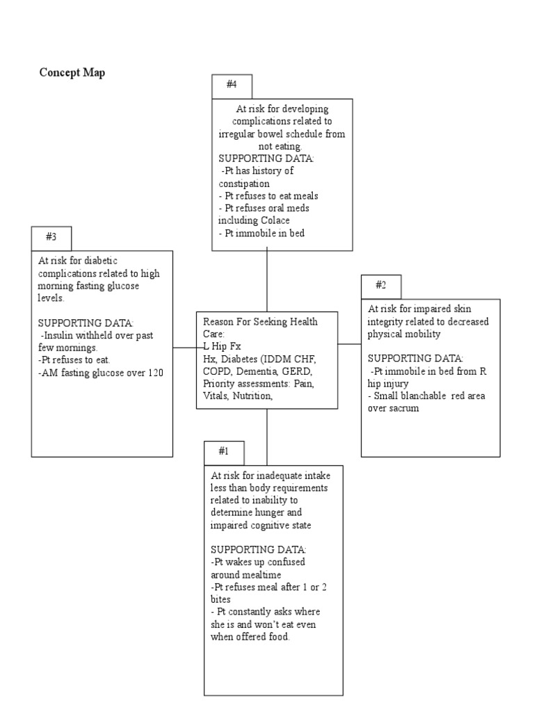
Reason for Admission Reported pain in left lower abdomen.

All the templates are fully modifiable so that you can place the titles that you consider most important.

Nursing Diagnosis Concept Maps | Concept Map PLU Pacific Lutheran

How to Make a Concept Map | Lucidchart Blog

Pin by Sarah Bothof Zylstra on My Career ️ passion | Concept map ...

Nursing Concept Map Examples | MindMaster

Nursing Concept Map Example | Diabetes | Diseases And Disorders

Nursing Concept Mapping Template | Template Business

Nursing concept map | Nursing notes, Nursing school, Nursing fun

How To Do A Concept Map For Nursing | Kaleb Watson

free nursing concept map template microsoft word - Google Search ...

Nursing Concept Map Examples | EdrawMind

Pin by Anna Bravo on Nursing | Concept map nursing, Nurse, Nursing ...

Nursing Concept Mapping Template Best Of 29 Best Wound Care Images On ...

In the complex health environment, it is very important for nursing educators to cultivate in nursing students thinking and judgment skills. Use the "floating node" option to add nodes. Nursing concept maps illustrate a patient's condition and can be accessed in nursing education.

Judul: Nursing Concept Map Examples
Rating: 100% based on 788 ratings. 5 user reviews.
Brian Debolt

Thank you for reading this blog. If you have any query or suggestion please free leave a comment below.

0 Response to "Nursing Concept Map Examples"

Post a Comment